2004 Infrared Research

Relax Sauna's proven to be more effective than Near Infrared light bulbs in penetrating the human body and in increasing Micro-circulation!

Relax Far Infrared Sauna

Far-infrared rays penetrate deeper into mammary tissue and induce a higher skin blood flow in comparison to infrared irradiation


Cheng-De Lin+, Chien-Chung Huang+, Ching-Hung Chen#, Tak-Wah Wong#*, Ming-Shing Young+ + Electric Engineering Department, #Department of Dermatology & *Institute of Clinical Medicine, Collage of Medicine, National Cheng Kung University No.1, Ta-Hsueh Road, Tainan 701, Taiwan. +Phone (886)-6-275-7575 ext 62400-989, Fax (886)-6-276-1758, E-mail bigmod.lin@msa.hinet.net *Correspondence: Phone (886)-6-235-3535 ext 5352, E-mail twwong@mail.ncku.edu.tw

Abstract

Far-Infrared rays (FIR) and infrared rays (IR) generate heat and were claimed to be a benefit to wound healing.

We compared the difference of light penetration and human skin blood flow between FIR and IR irradiation.

Relax ® FIR Sauna
Relax Sauna

Introduction

Earlier studies have shown that FIR and IR radiation could promote wound healing

in mice, increase skin blood flow and a deeper light penetration. However, no comparison data exist in the English literatures. We compare the light penetration in excised porcine tissue and in mice, and the human skin blood flow affected by FIR and IR.

Figure 1. The increase of temperature at different depth from skin surface of isolated pig tissue after FIR or IR irradiation.

Material and Methods

Experiments setup

FIR heaters which emit 4-14μm rays was a gift from Chung Cheng Electric Heating Co., Taiwan. PAR38 infrared lamp (wavelength of 700-2000 nm, Philips, Holland) was used for IR irradiation. During irradiation, multiple channel measuring system with 14 thermocouple inputs (PCI4351, National Instruments, US) were attached onto skin and provided a continuous records of skin temperature. An area of 2×2 cm was irradiated during all experiments by blocking with an aluminum foil with a square opening.


Determination of light penetration in vitro

Thermal couples were inserted into different anatomical layers (skin surface, dermoepidermal junction, upper- , middle- and lower- layer of the subcutaneous fat, middle of the muscular layer) of excised domestic pig skin with underling muscle. It was placed in 37℃ water bath to mimic constant temperature in vivo. Radiators (IR or FIR) were set at a distant to kept skin surface temperature at 47℃.

Determination of light penetration in vivo

in mice, increase skin blood flow and a deeper light penetration. However, no comparison data exist in the English literatures. We compare the light penetration in excised porcine tissue and in mice, and the human skin blood flow affected by FIR and IR.


Laser Doppler measurements of human skin blood flow

Periflux 4001 (Perimed AB, Sweden) was used to measure forearm, inner aspect blood flow in 4 volunteers. Data was collected before and immediately after irradiation until the temperature dropped to the baseline. The skin surface was kept around 40-42℃ by adjusting the distant of the lamps to skin. All experiments were repeated at least twice.

Results and Discussion

FIR rays penetrated deeper in isolated skin tissue

Only FIR irradiation could penetrate 3cm depth from skin surface (middle of subcutaneous fat) as revealed by an increment of 2℃ from the baseline (Fig. 1). The results implied that FIR has better penetration in pig skin than IR.


FIR rays penetrated deeper in mice

In FIR treated group, the difference was about 1℃ higher than the IR group (Fig. 2). The results suggested FIR irradiation could penetrate deeper and induced a systemic regulatory effect on body temperature.

Figure 2. The temperature difference between skin and central in FIR and IR treatments.

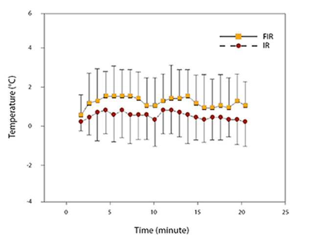
FIR irradiation enhanced skin blood flow in human skin

Fig. 3 showed the skin blood flow measured by laser Doppler was increased in both FIR and IR treatments. However, it took a longer time for the skin blood flow back to baseline in the IR irradiation group (Fig. 4).

Figure 3. FIR and IR increase in human skin blood flow.

Conclusion


The results showed that FIR and IR might cause different biological effect in mammary tissue, both in vitro and in vivo. FIR increase more blood flow in human skin than IR irradiation. The deeper vessels might be heated and dilated by FIR irradiation. The results suggested FIR irradiation might benefit to patients with poor wound healing due to compromised circulation.

Acknowledgement

This study was granted by the National Science Council NSC93-2622-E-006-012-CC3, Taiwan.